Nota Psi Tingkatan 4 Dan 5
0 4 43 Nota SPM Ekonomi Asas - Sumber Pendidikan Nota Ekonomi Asas. DSKP Pendidikan Syariah Islamiah Tingkatan 4 dan 5 KSSM.
Hari berdiri manusia ketika menghadap Tuhan semesta alam.
. Koleksi Nota Pendidikan Syariah Islamiah Tingkatan 4 5 Bumi Gemilang. Nota SPM Pendidikan Syariah Islamiah - Sumber Pendidikan Nota rignkas PSI Alat Bahan Tayammum. Semua nota bagi Tingkatan 4 Bahasa Inggeris Bab 3 Reading Skills Bab 4 Writing Skills Bahasa Melayu Bab 3.
Kssm pqs tingkatan 4. Handout Adab Pergaulan dalam Rumah 1. Nota Perbezaan PSI SPM.
Asyraf Khan bin Razen Khan SM imaz Ulul Albab Melaka Nota ini merangkumi. Nota ini telah direka dalam usaha berterusan menyampaikan ilmu kemahiran dan penghayatan islam berdasarkan al-quran dan al-sunnah bagi membentuk sikap kemahiran dan keperibadian dan pandangan hidup sebagai hamba Allah yang. 6Diamalkan dengan amanah kerana harta benda adalahamanah Allah.
Mereka bertanggungjawab atas tindakan akibat tindakan serta keputusan mereka. NOTA PSI - TG4 Muamalat. NOTA PENDIDIKAN ISLAM TINGKATAN 4 KSSM 24 3.
Koleksi Buku Teks Digital. 4Ada unsur berdaya maju Perniagaan Perusahaan. IMAM MALIK RA 3.
Dalam masa yang sama standard prestasi digunakan sebagai satu set kriteria umum yang menggambarkan penguasaan murid terhadap sesuatu tajuk konsep dan istilah yang telah dipelajari. Boleh juga dicetak bagi untuk dijadikan nota poket. Himpunan DSKP Tingkatan 4 Dan Tingkatan 5 menepati segala keperluan yang diperlukan oleh guru-guru sebagai panduan di dalam proses pengajaran dan pembelajaran.
5D DIY Diamond Painting Kits for Adults KidsCelebrate Full Drill Diamond Art Painting Crystal Rhinestone Embroidery Cross Stitch Pictures Canvas Relaxation and Home Wall Decor 70x100cm X. Berikut merupakan nota ringkas Sejarah SPM Tingkatan 4 dan 5 latihan lengkap dengan jawapan dan soalan ramalan SPM. BOLEH TAK NAK MINTA NOTA PADAT PSI TING 4 DAN 5.
Dan sebaliknya apabila mereka menyukat atau menimbang untuk orang lain mereka kurangi. Selain nota Pandai menyediakan kuiz dan ujian mengikut topik. Isnbat Hukum Asbabun Nuzul Definisi Islah Hukum berserta contoh Dan banyak lagi 100 berdasarkan buku teks KSSM Seap isi dipecahkan mengikut format.
HEHE SYUKRAN Balas Padam. Kssm pqs tingkatan 4. يأيها ٱلذين ءامنوا ليس تذ م ٱلذين ملمت أي منم و ٱلذين ل يبلغوا ٱلحل منم ث لث م ر ت نمن بب صل وة ٱلفجر وحين تضعون.
Daftar Sekarang untuk mulakan latihan. Pada bila-bila masa. Anda boleh merujuk maklumat berikut untuk mengulang kaji pelajaran dan membuat persiapan sebelum menghadapi peperiksaan dalam mata pelajaran Sains Tingkatan 4.
Nota PSI Tingkatan 5. Unknown 22 April 2020 754 PTG. Muat turun Nota Pendidikan Syariah Islamiah Tingkatan 4 1.
IMAM AHMAD BIN HANBAL RA 5. Tajuk Iman fitrah manusia. Nota di bawah adalah berdasarkan buku teks Pendidikan Islam Form 4 KSSM yang baharu.
Dengan syarat-syarat tertentu. Check more flip ebooks related to BUKU TEKS Pendidikan Syariah Islamiah T4 KSSM of Norrijah Saidin. Islam sebagai addin yang membawa rahmat Pengenalan ilmu usul fiqh.
Akidah psi smka tahap tingkatan 5. 2Dilaksanakan untuk tolong-menolong bukankeuntungan semata. Usul Fiqh Tingkatan 4 MUAT TURUN Semoga Bermanfaat Terima kasih kerana memuat turun nota ini.
Feqah Tingkatan 4 MUAT TURUN 5. Admin January 2 2019. Nota SPM Pendidkan Syariah Islamiah untuk kegunaan pelajar SPM.
Nota dikumpulkan daripada pelbagai sumber. IMAM AL-BUKHARI RA 6. Boleh diletakkan di dalam smartphone masing-masing untuk supaya muda dibaca.
Dapatkan nota di bawah sini. Share BUKU TEKS Pendidikan Syariah Islamiah T4. Nota PSI FIQH 2 Nota PSI FIQH 1.
IMAM SYAFIE RA 4. Ayat Hukum Tingkatan 4 MUAT TURUN 4. Pendidikan Syariah Islamiah Psi Dosa Pahala Bahagiannya.
NOTA RINGKAS DAN PADAT PENDIDIKAN SYARIAH ISLAMIAH Tingkatan 4 KSSM Disediakan oleh. IMAM ABU HANIFAH RA 2. Pendidikan Syariah Islamiah Tingkatan 4 Dan 5 Pdf Download Gratis.
Aqidah Tingkatan 4 MUAT TURUN 2. Nota Padat Al-Quran Dan Al-Sunnah Tingkatan 4 Dan 5 adalah himpunan nota-nota yang terpilih dari seluruh negara. Nota Tokoh Pendidikan Islam Tingkatan 4 5 1.
IMAM AL-GHAZALI RA 2. Bermula 2017 kurikulum bersepadu sekolah menengah akan digantikan secara berperingkat dengan kurikulum standard sekolah menengah. Latih Tubi Peta Minda Tokoh Ting 4 5 Latih Tubi Berfokus Kertas 1 Panitia PI SMK Putra1 SKIMA MODUL PETA MINDA A TOKOH TING 4 1.
Nota Sains Tingkatan 4 Dalam Bahasa Melayu Di bawah adalah sukatan bab dan koleksi Nota Ringkas Sains Tingkatan 4 dalam Bahasa Melayu. Pada hari kiamat yang amat besar huru-haranya 6. 5 Dosa dan Pahala Iman Bertambah dan Berkurang.
Buku teks pqs ting 4 2020. Nota PSI Tingkatan 4. Musafir Bumi Kenyalang 1 Jun 2017 809 PG.
Nota Istinbat Hukum PSI SPM Tingkatan 4 dan 5 Nota Muamalat PSI Tiangkatan 4. Sejarah Perundangan Islam MUAT TURUN 3. Spm Pendidikan Syariah Islamiah Tingkatan 4 5 Nota Padat Dan Soalan Fokus Pustaka Salam Sdn Bhd.
Buku teks ini telah disusun bagi mencapai matlamat mata pelajaran pendidikan Islam iaitu membina dan membentuk hamba dan khalifah Allah yang berilmu. 1Tujuan untuk mencari keredhaan Allah. Perbezaan di antara kedua-dua ibadah tersebut hanyalah pada waktunya samada waktu tertentu Miqat Zamani bagi Haji ataupun bila-bila masa bagi Umrah.
LINK MANA YANG BOLEH SAYA DAPATKAN. 84 T4 Golongan Yang Harus Meninggalkan Puasa Rukhsah Puasa. Sekiranya ya di bawah dikongsikan Nota Pendidikan Islam Tingkatan 4 Lengkap KSSM untuk rujukan semua.
Kssm pqs tingkatan 4. Nota Ringkas dan Padat Pendidikan Syariah Islamiah KSSM Tingkatan 4 AK Nota PSI Tingkatan 5 Aqidah. KSSM PENDIDIKAN SYARIAH ISLAMIAH TINGKATAN 4 DAN 5 6 PROFIL MURID PENERANGAN Berprinsip Mereka berintegriti dan jujur kesamarataan adil dan menghormati maruah individu kumpulan dan komuniti.
Sumber Pendidikan Nota Tingkatan 5. Maksud pengakuan atau iqrar dengan lisan membenarkan dalam hatindan dibuktikan dengan amalan zahir. Pada tahun 2017 murid tingkatan 1 akan mempelajari KSSM sehingga menjadi murid tingkatan 5 pada tahun 2021.
Rahmat hidayah Usul Al fiqh Ilmu usul fiqh. Kssm pqs tingkatan 4. View flipping ebook version of BUKU TEKS Pendidikan Syariah Islamiah T4 KSSM published by Norrijah Saidin on 2020-04-24.
Pengertian Ibadah Haji Umrah. Tidakkah mereka menyangka akan dibangkitkan hidup semula sesudah mati. NOTA HAJI DAN UMRAH TINGKATAN 4 1.
Dalil-Dalil KBAT PSI Quran 2 Cara Menjawab Soalan KBAT PSI KSSM 1. Interested in flipbooks about BUKU TEKS Pendidikan Syariah Islamiah T4 KSSM.
Koleksi Nota Pendidikan Syariah Islamiah Tingkatan 4 5 Spm Bumi Gemilang
Dskp Kssm Tingkatan 4 Dan 5 Pendidikan Syariah Islamiah
Nota Sains Tingkatan 4 School Hacks School Bab
Spm Pendidikan Syariah Islamiah Tingkatan 4 5 Nota Padat Dan Soalan Fokus Shopee Malaysia
Rancangan Pelajaran Tahunan Psi T 4 Rumi By Salina Na Issuu
Spm Pendidikan Syariah Islamiah Tingkatan 4 5 Nota Padat Dan Soalan Fokus Shopee Malaysia
Spm Pendidikan Syariah Islamiah Tingkatan 4 5 Nota Padat Dan Soalan Fokus Lazada
Pendidikan Syariah Tingkatan 4 Akidah
Buku Nota Spm A Pendidikan Syariah Islamiah Kssm Ting 4 Dan Ting 5 Shopee Malaysia
Buku Nota Spm A Pendidikan Syariah Islamiah Kssm Ting 4 Dan Ting 5 Shopee Malaysia
Buku Nota Spm A Pendidikan Syariah Islamiah Kssm Ting 4 Dan Ting 5 Shopee Malaysia
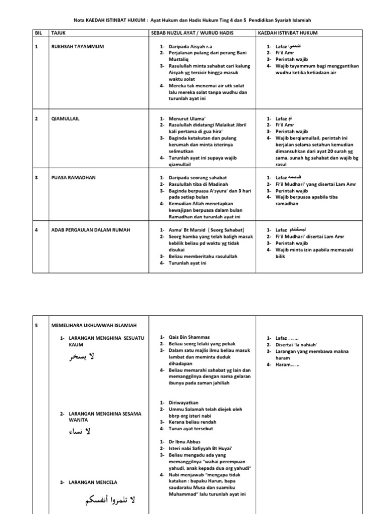
Nota Ayat Hukum Dan Hadis Hukum Ting 4 Dan 5 Pdf
Nota Spm Pendidikan Syariah Islamiah Sumber Pendidikan Nota Rignkas Psi
Nota Ayat Hukum Dan Hadis Hukum Ting 4 Dan 5 Pdf
Buku Nota Spm A Pendidikan Syariah Islamiah Kssm Ting 4 Dan Ting 5 Shopee Malaysia



0 Response to "Nota Psi Tingkatan 4 Dan 5"
Post a Comment